ຂ່າວອຸດສາຫະກໍາ

Cyclodextrin-Based Solutions ສໍາລັບການລະລາຍແລະການເພີ່ມຄວາມຫມັ້ນຄົງ

Cyclodextrin-Based Solutions ສໍາລັບການລະລາຍແລະການເພີ່ມຄວາມຫມັ້ນຄົງ

ພາບລວມດ້ານວິຊາການຂອງ Hydroxypropyl Betadex ແລະ Betadex Sulfobutyl Ether Sodium

Cyclodextrins ໄດ້ຖືກຮັບຮູ້ຢ່າງກວ້າງຂວາງສໍາລັບຄວາມສາມາດໃນການປັບປຸງການລະລາຍແລະຄວາມຫມັ້ນຄົງຂອງທາດປະສົມທີ່ລະລາຍບໍ່ດີຫຼືມີຄວາມອ່ອນໄຫວທາງເຄມີ. ເນື່ອງຈາກໂຄງສ້າງໂມເລກຸນ cyclic ເປັນເອກະລັກຂອງພວກມັນ, cyclodextrins ແລະອະນຸພັນຂອງພວກມັນໄດ້ກາຍເປັນທາດປະສົມທີ່ເປັນປະໂຫຍດທີ່ສໍາຄັນໃນທົ່ວຂະແຫນງການຢາ, ເຄມີ, ແລະສູດທີ່ກ່ຽວຂ້ອງ. ໃນການຕອບສະຫນອງຕໍ່ຄວາມຕ້ອງການດ້ານວິຊາການແລະກົດລະບຽບທີ່ເພີ່ມຂຶ້ນ, Xi'an Deli Biochemical ໄດ້ປັບປຸງເອກະສານດ້ານວິຊາການແລະການສະຫນັບສະຫນູນຜະລິດຕະພັນສໍາລັບອະນຸພັນ cyclodextrin ທີ່ສໍາຄັນຂອງຕົນ:hydroxypropyl betadex (HPBCD) ແລະ betadex sulfobutyl ether sodium (SBECD).


ລັກສະນະໂຄງສ້າງແລະການປະຕິບັດຫນ້າທີ່ຂອງ Cyclodextrins

Cyclodextrins ແມ່ນ cyclic oligosaccharides ປະກອບດ້ວຍຫນ່ວຍງານ glucose ທີ່ເຊື່ອມຕໍ່ໂດຍພັນທະບັດ α-1,4 glycosidic. ສະຖາປັດຕະຍະກໍາໂມເລກຸນຂອງພວກມັນມີລັກສະນະດ້ານນອກ hydrophilic ແລະຊ່ອງຄອດພາຍໃນທີ່ຂ້ອນຂ້າງ hydrophobic, ເຊິ່ງເຮັດໃຫ້ການສ້າງສະລັບສັບຊ້ອນການລວມຕົວທີ່ມີລະດັບຄວາມກ້ວາງຂອງໂມເລກຸນແຂກ. ການປ່ຽນແປງທາງເຄມີຂອງໂຄງສ້າງ cyclodextrin ສາມາດເສີມຂະຫຍາຍການລະລາຍນ້ໍາຢ່າງຫຼວງຫຼາຍແລະຂະຫຍາຍຄວາມຍືດຫຍຸ່ນຂອງຄໍາຮ້ອງສະຫມັກ.


Hydroxypropyl Betadex (HPBCD)


Hydroxypropyl betadex ແມ່ນ β-cyclodextrin ທີ່ຖືກດັດແປງທາງເຄມີທີ່ຖືກອອກແບບມາເພື່ອເອົາຊະນະການລະລາຍຈໍາກັດຂອງ cyclodextrins ພື້ນເມືອງ. ການປັບປຸງການລະລາຍນ້ໍາຂອງມັນແລະຄວາມເຂົ້າກັນໄດ້ທີ່ເອື້ອອໍານວຍເຮັດໃຫ້ HPBCD ເຫມາະສົມສໍາລັບຄໍາຮ້ອງສະຫມັກທີ່ຕ້ອງການການລະລາຍປະສິດທິພາບ, ສະຖຽນລະພາບ, ແລະຄວາມຍືດຫຍຸ່ນຂອງສູດໃນທົ່ວລະບົບທີ່ຫຼາກຫຼາຍ.


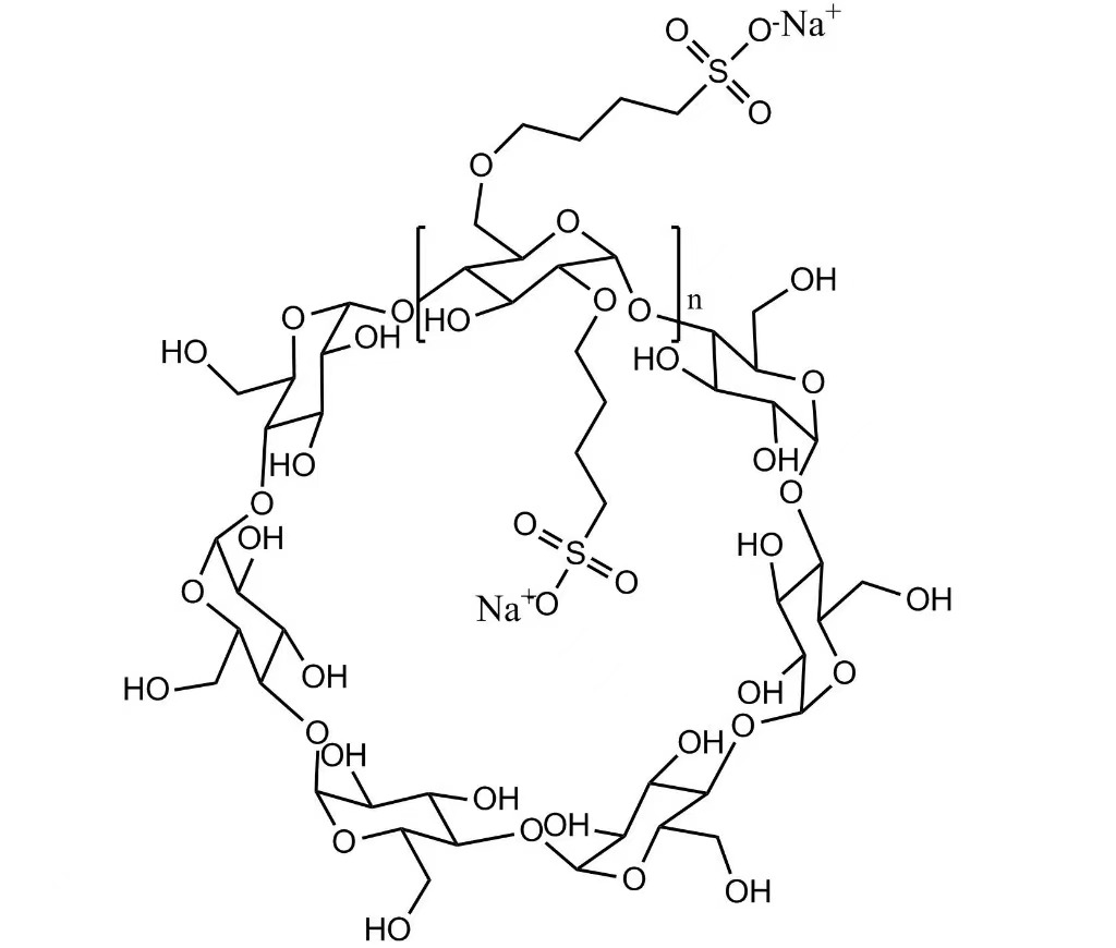
Betadex Sulfobutyl Ether Sodium (SBECD)


Betadex sulfobutyl ether sodium ແມ່ນອະນຸພັນຂອງ cyclodextrin anionic ທີ່ມີລັກສະນະໂດຍສານແທນ sulfobutyl ether. ໂຄງສ້າງນີ້ຊ່ວຍເສີມສ້າງປະຕິສໍາພັນ electrostatic ກັບທາດປະສົມສະເພາະ, ສະຫນັບສະຫນູນການປັບປຸງການລະລາຍ, ຄວາມຫມັ້ນຄົງສະລັບສັບຊ້ອນ, ແລະຄວາມເຂັ້ມຂົ້ນຂອງສູດໃນຄໍາຮ້ອງສະຫມັກທີ່ມີຄວາມຕ້ອງການຫຼາຍ.

ຂໍ້ມູນຜະລິດຕະພັນມາດຕະຖານແລະການສະຫນັບສະຫນູນດ້ານວິຊາການ

ເພື່ອ​ສະ​ຫນັບ​ສະ​ຫນູນ​ທີ່​ດີກ​ວ່າ​ການ​ພັດ​ທະ​ນາ​ການ​ສ້າງ​ຕັ້ງ​, ການ​ປະ​ເມີນ​ຜົນ​ຄຸນ​ນະ​ພາບ​, ແລະ​ຂະ​ບວນ​ການ​ຈັດ​ຊື້​, Xi'an Deli Biochemical ໄດ້​ປັບ​ປຸງ​ລະ​ບົບ​ຂໍ້​ມູນ​ຜະ​ລິດ​ຕະ​ພັນ​ສໍາ​ລັບ HPBCD ແລະ SBECD​, ລວມ​ທັງ​:


  • ກໍານົດຢ່າງຈະແຈ້ງແລະມາດຕະຖານຜະລິດຕະພັນສະເພາະແລະຕົວກໍານົດການການວິເຄາະ
  • ໃບຢັ້ງຢືນການວິເຄາະສະເພາະຊຸດ (COA) ເພື່ອຮັບປະກັນການຕິດຕາມ ແລະການກວດສອບຄຸນນະພາບ
  • ຂະຫຍາຍ FAQs ດ້ານວິຊາການກ່ຽວກັບການຈັດການ, ການເກັບຮັກສາ, ແລະການພິຈາລະນາຄໍາຮ້ອງສະຫມັກປົກກະຕິ
  • ສະຫຼຸບສັງລວມຜະລິດຕະພັນທີ່ດີທີ່ສຸດທີ່ຖືກອອກແບບມາເພື່ອອໍານວຍຄວາມສະດວກໃນການກວດສອບແລະການຄັດເລືອກດ້ານວິຊາການທີ່ມີປະສິດທິພາບ


ການປັບປຸງເຫຼົ່ານີ້ແມ່ນມີຈຸດປະສົງເພື່ອເພີ່ມຄວາມໂປ່ງໃສ, ຫຼຸດຜ່ອນໄລຍະເວລາການປະເມີນຜົນ, ແລະສະຫນັບສະຫນູນການປະຕິບັດຜະລິດຕະພັນທີ່ສອດຄ່ອງຕະຫຼອດວົງຈອນການສະຫນອງ.


ປະສົບການການຜະລິດແລະການຮັບປະກັນຄຸນນະພາບ

ສ້າງຕັ້ງຂຶ້ນໃນປີ 1999, Xi'an Deli Biochemical ເອົາ 26 ປີຂອງປະສົບການໃນການຜະລິດຂອງອະນຸພັນ cyclodextrin. ບໍລິສັດໄດ້ສຸມໃສ່ການຜະລິດຄວບຄຸມຂອງ hydroxypropyl betadex ແລະ betadex sulfobutyl ether sodium, ເນັ້ນຫນັກໃສ່ຄວາມສອດຄ່ອງຂອງຂະບວນການ, ຄວາມຫນ້າເຊື່ອຖື batch-to-batch, ແລະຄວາມຫມັ້ນຄົງຂອງການສະຫນອງໃນໄລຍະຍາວ. ການປະຕິບັດການຄຸ້ມຄອງຄຸນນະພາບທີ່ມີໂຄງສ້າງສະຫນັບສະຫນູນຄວາມຕ້ອງການຂອງລູກຄ້າທາງດ້ານເຕັກນິກ, ລະບຽບການ, ແລະແຫຼ່ງທີ່ມາ.


ຂອບເຂດຄໍາຮ້ອງສະຫມັກແລະການຮ່ວມມືດ້ານວິຊາການ

ອີງຕາມການລວມເອົາ cyclodextrin ແລະກົນໄກການສະຖຽນລະພາບ, HPBCD ແລະ SBECD ແມ່ນໃຊ້ໄດ້ໃນຫຼາຍຂົງເຂດດ້ານວິຊາການ, ລວມທັງສູດການຢາທີ່ກ່ຽວຂ້ອງກັບຢາ, ສານເຄມີພິເສດ, ຜະລິດຕະພັນສັດຕະວະແພດ, ແລະລະບົບອື່ນໆທີ່ຮຽກຮ້ອງໃຫ້ມີການລະລາຍທີ່ເພີ່ມຂຶ້ນແລະຄວາມຫມັ້ນຄົງ. Xi'an Deli Biochemical ຍັງສືບຕໍ່ການພົວພັນກັບຄູ່ຮ່ວມງານໂດຍຜ່ານການສື່ສານທີ່ສຸມໃສ່ຄໍາຮ້ອງສະຫມັກແລະການຮ່ວມມືດ້ານວິຊາການເພື່ອສະຫນັບສະຫນູນຄວາມຕ້ອງການສ້າງຮູບແບບທີ່ພັດທະນາ.


ກ່ຽວກັບບໍລິສັດອຸດສາຫະກໍາຊີວະເຄມີ Xi'an Deli

ສ້າງຕັ້ງຂຶ້ນໃນປີ 1999, ບໍລິສັດອຸດສາຫະກໍາຊີວະເຄມີ Xi'an Deli ເປັນຜູ້ຜະລິດພິເສດຂອງອະນຸພັນ cyclodextrin, ສະຫນອງ hydroxypropyl betadex (HPBCD) ແລະ betadex sulfobutyl ether sodium (SBECD) ໃຫ້ແກ່ລູກຄ້າທົ່ວໂລກ. ດ້ວຍຄວາມມຸ່ງຫມັ້ນທີ່ຍາວນານກ່ຽວກັບຄວາມສອດຄ່ອງຂອງຜະລິດຕະພັນ, ຂໍ້ມູນສະເພາະທີ່ຊັດເຈນ, ແລະການສະຫນັບສະຫນູນດ້ານວິຊາການໃນການປະຕິບັດ, ບໍລິສັດຍັງຄົງມຸ່ງຫມັ້ນທີ່ຈະສະຫນອງການແກ້ໄຂທີ່ໃຊ້ cyclodextrin ທີ່ເຊື່ອຖືໄດ້.


ຖ້າທ່ານຕ້ອງການ, ຂ້ອຍສາມາດ:


  • ເພີ່ມປະສິດທິພາບນີ້ສໍາລັບ Google SEO (ໂດຍບໍ່ມີການຫຼຸດຜ່ອນສຽງດ້ານວິຊາການ)
  • Condense ມັນເຂົ້າໄປໃນຫນ້າຜະລິດຕະພັນ "ການປັບປຸງດ້ານວິຊາການ" ສະບັບ
  • ປັບຕົວມັນສໍາລັບລູກຄ້າທີ່ມີກົດລະບຽບ / ເນັ້ນໃສ່ຄຸນນະພາບ


ພຽງແຕ່ບອກຂ້ອຍວ່າເຈົ້າວາງແຜນທີ່ຈະເຜີຍແຜ່ມັນຢູ່ໃສ.


ສົ່ງສອບຖາມ


icon
X
ພວກເຮົາໃຊ້ cookies ເພື່ອສະເຫນີໃຫ້ທ່ານມີປະສົບການການຊອກຫາທີ່ດີກວ່າ, ວິເຄາະການເຂົ້າຊົມເວັບໄຊທ໌ແລະປັບແຕ່ງເນື້ອຫາ. ໂດຍການນໍາໃຊ້ເວັບໄຊທ໌ນີ້, ທ່ານຕົກລົງເຫັນດີກັບການນໍາໃຊ້ cookies ຂອງພວກເຮົາ. ນະໂຍບາຍຄວາມເປັນສ່ວນຕົວ
ປະຕິເສດ ຍອມຮັບ