ຄໍາສໍາຄັນ:Betadex Sulfobutyl Ether Sodium
Betadex Sulfobutyl Ether Sodiumໄດ້ປະຕິວັດເຕັກໂນໂລຊີ excipient ຢາ. ອະນຸພັນ cyclodextrin ທີ່ລະລາຍໃນນ້ໍາສູງນີ້ເຮັດໃຫ້ການສ້າງສະລັບສັບຊ້ອນການລວມຕົວທີ່ຫມັ້ນຄົງກັບສ່ວນປະກອບທາງຢາທີ່ມີການເຄື່ອນໄຫວ (APIs), ເຮັດໃຫ້ມັນເປັນໄປໄດ້ທີ່ຈະສ້າງຢາທີ່ຈໍາກັດກ່ອນຫນ້ານີ້ໂດຍການລະລາຍທີ່ບໍ່ດີແລະຄວາມບໍ່ສະຖຽນລະພາບ.
ໂດຍການປັບປຸງການລະລາຍຂອງຢາແບບສີດ, ການມີຊີວະພາບ, ແລະຄວາມປອດໄພຢ່າງຫຼວງຫຼາຍ, Betadex Sulfobutyl Ether Sodium ໄດ້ກາຍເປັນສ່ວນປະກອບສໍາຄັນໃນລະບົບການຈັດສົ່ງຢາທີ່ທັນສະໄຫມ. ໂຄງສ້າງໂມເລກຸນທີ່ເປັນເອກະລັກຂອງມັນອະນຸຍາດໃຫ້ໂມເລກຸນຢາ hydrophobic ກາຍເປັນທາງດ້ານຄລີນິກໂດຍຜ່ານການຫຸ້ມຫໍ່ໂມເລກຸນທີ່ມີປະສິດທິພາບ.
ທາດປະສົມທີ່ລະລາຍໄດ້ບໍ່ດີຍັງສືບຕໍ່ທ້າທາຍລະບົບການຈັດສົ່ງຢາ. ຍຸດທະສາດການສ້າງແບບດັ້ງເດີມມັກຈະລົ້ມເຫລວທີ່ຈະບັນລຸການລະລາຍຫຼືຄວາມຫມັ້ນຄົງທີ່ພຽງພໍ, ປ້ອງກັນບໍ່ໃຫ້ຜູ້ສະຫມັກຢາທີ່ມີທ່າແຮງຫຼາຍຈາກການເຂົ້າເຖິງຄົນເຈັບ. ການຄົ້ນຄວ້າທາງຢາທີ່ທັນສະ ໄໝ ຂື້ນກັບສານເສີມທີ່ກ້າວ ໜ້າ ເພື່ອເອົາຊະນະຂໍ້ ຈຳ ກັດເຫຼົ່ານີ້ໃນຂະນະທີ່ຮັກສາຄວາມປອດໄພຂອງຄົນເຈັບ.

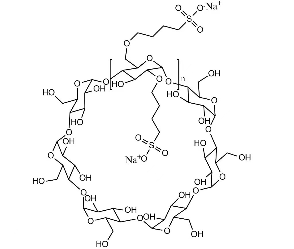
sulfobutyl ether cyclodextrinແມ່ນອະນຸພັນຂອງ cyclodextrin anionic ທີ່ສ້າງຂຶ້ນໂດຍການນໍາກຸ່ມ sulfobutyl ໃສ່ກະດູກສັນຫຼັງຂອງ beta-cyclodextrin. ການດັດແກ້ໂຄງສ້າງນີ້ຊ່ວຍເພີ່ມການລະລາຍຂອງນໍ້າຢ່າງຫຼວງຫຼາຍເມື່ອປຽບທຽບກັບ cyclodextrins ພື້ນເມືອງ.
excipient ປະກອບເປັນສະລັບສັບຊ້ອນການລວມທີ່ບໍ່ແມ່ນ covalent ກັບໂມເລກຸນຢາ. ຊັ້ນໃນ hydrophobic ຂອງ cyclodextrin ເປັນເຈົ້າພາບ APIs lipophilic, ໃນຂະນະທີ່ຊັ້ນນອກ hydrophilic ຮັກສາການລະລາຍນ້ໍາ. encapsulation ນີ້ປັບປຸງ pharmacokinetics ແລະປົກປ້ອງທາດປະສົມທີ່ລະອຽດອ່ອນຈາກການເຊື່ອມໂຊມຂອງສານເຄມີ.
ລະດັບການທົດແທນມີອິດທິພົນໂດຍກົງຕໍ່ປະສິດທິພາບການລະລາຍ. ລະດັບການທົດແທນທີ່ສູງຂຶ້ນປັບປຸງການລະລາຍ, ແຕ່ປະສິດທິພາບທີ່ດີທີ່ສຸດຮຽກຮ້ອງໃຫ້ມີການດຸ່ນດ່ຽງພະລັງງານ solubilising ກັບຄວາມປອດໄພ.
ການສຶກສາວິທະຍາສາດສະແດງໃຫ້ເຫັນວ່າ Betadex Sulfobutyl Ether Sodium ສະແດງໃຫ້ເຫັນກິດຈະກໍາ haemolytic ຕ່ໍາແລະຫຼຸດລົງການສະສົມຂອງຫມາກໄຂ່ຫຼັງເມື່ອທຽບກັບ solubilizers ທໍາມະດາຈໍານວນຫຼາຍ, ເຮັດໃຫ້ມັນເຫມາະສົມສໍາລັບການບໍລິຫານ parenteral ຊ້ໍາຊ້ອນ.
ຕົວແທນຕ້ານເຊື້ອເຫັດຈໍານວນຫຼາຍທົນທຸກຈາກການລະລາຍນ້ໍາທີ່ບໍ່ດີ, ຈໍາກັດການນໍາໃຊ້ສີດຂອງເຂົາເຈົ້າ. Betadex Sulfobutyl Ether Sodium ປະກອບເປັນສະລັບສັບຊ້ອນທີ່ຫມັ້ນຄົງກັບຢາເຊັ່ນ: voriconazole ແລະ posaconazole, ເຮັດໃຫ້ຮູບແບບສັກຢາທີ່ມີປະສິດທິພາບ.
ນອກເຫນືອຈາກການປັບປຸງການລະລາຍ, ສະລັບສັບຊ້ອນຊ່ວຍເພີ່ມຄວາມທົນທານຕໍ່ pH ແລະຄວາມຫມັ້ນຄົງຂອງການເກັບຮັກສາ, ຍືດອາຍຸການເກັບຮັກສາແລະປັບປຸງຜົນໄດ້ຮັບການປິ່ນປົວສໍາລັບການຕິດເຊື້ອ fungal ຮຸກຮານ.
ຢາຕ້ານໄວຣັດມັກຈະພົບກັບອຸປະສັກການລະລາຍທີ່ຈຳກັດການເກີດລູກ. Sulfobutyl ether cyclodextrin ຊ່ວຍໃຫ້ການສ້າງແບບສັກຢາທີ່ຫມັ້ນຄົງໂດຍການປົກປ້ອງ APIs ຈາກການເຊື່ອມໂຊມແລະເຮັດໃຫ້ການປ່ອຍຄວບຄຸມ.
ຄວາມສໍາເລັດຂອງສູດຢາ remdesivir ຊີ້ໃຫ້ເຫັນຄວາມສໍາຄັນຂອງການລະລາຍຂອງ cyclodextrin ໃນການປິ່ນປົວການຕິດເຊື້ອໄວຣັດທີ່ຮ້າຍແຮງທີ່ການໃຫ້ຢາໄວແລະເຊື່ອຖືໄດ້ແມ່ນສໍາຄັນ.
ຕົວແທນຕ້ານມະເຮັງຫຼາຍຊະນິດສະແດງໃຫ້ເຫັນການລະລາຍນ້ໍາຕ່ໍາ, ຂັດຂວາງການພັດທະນາທາງດ້ານການຊ່ວຍ. Betadex Sulfobutyl Ether Sodium ອະນຸຍາດໃຫ້ສ້າງສານປະກອບທີ່ມີສັກຍະພາບເຫຼົ່ານີ້ໃນຂະນະທີ່ຮັກສາຄວາມປອດໄພທີ່ເອື້ອອໍານວຍ.
ການສະສົມເນື້ອເຍື່ອຕ່ໍາແລະການຫຼຸດຜ່ອນຄວາມເປັນພິດຂອງມັນມີຄຸນຄ່າໂດຍສະເພາະສໍາລັບການປິ່ນປົວໂຣກ oncology ທີ່ຕ້ອງການການສັກຢາຊ້ໍາຊ້ອນ, ເຮັດໃຫ້ການສໍາຜັດກັບການປິ່ນປົວທີ່ສູງຂຶ້ນດ້ວຍຄວາມທົນທານຕໍ່ການປັບປຸງ.
ການດູແລ cardiovascular ສຸກເສີນມັກຈະອີງໃສ່ຢາທີ່ສັກຢາທີ່ມີການເລີ່ມຕົ້ນຢ່າງໄວວາ. excipient ນີ້ເຮັດໃຫ້ການສ້າງສູດຄົງທີ່ຂອງຕົວແທນ cardioactive ທີ່ລະລາຍບໍ່ດີ.
ກິດຈະກໍາ hemolytic ຕ່ໍາຂອງ Betadex Sulfobutyl Ether Sodium ເຮັດໃຫ້ມັນເຫມາະສົມໂດຍສະເພາະສໍາລັບຄົນເຈັບທີ່ມີການເຮັດວຽກຂອງຫົວໃຈທີ່ຖືກທໍາລາຍທີ່ບໍ່ສາມາດທົນທານຕໍ່ຄວາມກົດດັນຂອງ hemolytic.
ຄົນເຈັບເດັກນ້ອຍແລະຜູ້ສູງອາຍຸມັກຈະປະເຊີນກັບສິ່ງທ້າທາຍທີ່ມີຮູບແບບປະລິມານຢາທາງປາກ. ສູດແບບສີດແລະຂອງແຫຼວໂດຍໃຊ້ sulfobutyl ether cyclodextrin ສະຫນອງຢາທີ່ເຊື່ອຖືໄດ້ໃນທົ່ວກຸ່ມອາຍຸ.
ການຫຸ້ມຫໍ່ໂມເລກຸນຍັງປິດບັງລົດຊາດທີ່ບໍ່ຫນ້າພໍໃຈ, ປັບປຸງການປະຕິບັດຕາມຄົນເຈັບ, ໂດຍສະເພາະໃນສູດເດັກ.
ການປິ່ນປົວພະຍາດທີ່ຫາຍາກມັກຈະກ່ຽວຂ້ອງກັບ APIs ທີ່ມີຄຸນສົມບັດທາງກາຍະພາບສະລັບສັບຊ້ອນ. Betadex Sulfobutyl Ether Sodium ຊ່ວຍເອົາຊະນະສິ່ງທ້າທາຍໃນການລະລາຍໂດຍບໍ່ມີການພັດທະນາຄືນໃຫມ່ຢ່າງກວ້າງຂວາງ.
ຂໍ້ມູນຄວາມປອດໄພທີ່ສ້າງຕັ້ງຂຶ້ນແລະການຜະລິດທີ່ສາມາດຂະຫຍາຍໄດ້ຫຼຸດຜ່ອນຄວາມສ່ຽງດ້ານກົດລະບຽບແລະການພັດທະນາ, ເລັ່ງການເປັນການຄ້າຢາເສບຕິດເດັກກໍາພ້າ.
Cyclodextrin encapsulation ປົກປ້ອງ APIs ຈາກ hydrolysis, oxidation, ແລະການເຊື່ອມໂຊມຂອງ photodegradation ໂດຍປ້ອງກັນກຸ່ມປະຕິກິລິຍາ.
ການປັບປຸງຄວາມຫມັ້ນຄົງນີ້ສະຫນັບສະຫນູນການແຜ່ກະຈາຍທົ່ວໂລກ, ໂດຍສະເພາະໃນເຂດທີ່ມີໂຄງສ້າງລະບົບຕ່ອງໂສ້ເຢັນຈໍາກັດ.
Xi'an Deli Biochemical Industry Co., Ltd ນໍາເອົາຫຼາຍກວ່າ 26 ປີຂອງຄວາມຊໍານານໃນການຜະລິດ cyclodextrin. ທຸກໆ batch ໄດ້ຖືກທົດສອບຢ່າງເຂັ້ມງວດສໍາລັບການທົດແທນລະດັບ, impurities, ແລະ endotoxins.
ດ້ວຍຄວາມສາມາດໃນການຜະລິດປະຈໍາປີເກີນ 200 ໂຕນຂອງ Betadex Sulfobutyl Ether Sodium, ສະຖານທີ່ຂອງພວກເຮົາຮັບປະກັນການສະຫນອງທີ່ຫມັ້ນຄົງ, ໄລຍະຍາວສໍາລັບການນໍາໃຊ້ທາງດ້ານການຊ່ວຍແລະການຄ້າ.
ຂະບວນການຜະລິດທີ່ມີຄວາມຖືກຕ້ອງເຮັດໃຫ້ການຜັນແປເປັນຊຸດເປັນຊຸດໜ້ອຍທີ່ສຸດ, ອະນຸຍາດໃຫ້ລູກຄ້າຢາສາມາດອອກແບບສູດທີ່ແຂງແຮງ ແລະສາມາດແຜ່ພັນໄດ້.

ຜະລິດຕະພັນຂອງພວກເຮົາປະຕິບັດຕາມຂໍ້ກໍານົດດ້ານ pharmacopoeial ທີ່ສໍາຄັນ, ໃຫ້ຜູ້ຜະລິດຢາມີຄຸນນະພາບທີ່ສອດຄ່ອງແລະຄວາມຫມັ້ນໃຈດ້ານກົດລະບຽບໃນທົ່ວຕະຫຼາດທົ່ວໂລກ.
ການຂະຫຍາຍວັນນະຄະດີວິທະຍາສາດແລະການອະນຸມັດກົດລະບຽບຍັງສືບຕໍ່ສະຫນັບສະຫນູນການຮັບຮອງເອົາຢ່າງກວ້າງຂວາງຂອງ Betadex Sulfobutyl Ether Sodium ໃນລະບົບການຈັດສົ່ງຢາທີ່ກ້າວຫນ້າ.
ການເພີ່ມປະສິດທິພາບ kinetics ການສ້າງສະລັບສັບຊ້ອນແລະ thermodynamics ເປັນສິ່ງຈໍາເປັນສໍາລັບການບັນລຸການເພີ່ມປະສິດທິພາບການລະລາຍທີ່ຕ້ອງການແລະຮູບແບບການປ່ອຍຢາ.
ສະລັບສັບຊ້ອນການລວມອາດຈະຕ້ອງການວິທີການວິເຄາະທີ່ດັດແປງເພື່ອກໍານົດປະລິມານ APIs ຢ່າງຖືກຕ້ອງ. ຖືກຕ້ອງ, ເຕັກນິກການວິເຄາະສະເພາະແມ່ນສໍາຄັນ.
ການສຶກສາຄວາມເຂົ້າກັນໄດ້ຮັບປະກັນຄວາມໝັ້ນຄົງຂອງການສ້າງແບບໄລຍະຍາວ ເມື່ອສານປະສົມຫຼາຍອັນຖືກໃຊ້ຮ່ວມກັນ.
ການປິ່ນປົວດ້ວຍທາງພັນທຸກໍາ, ການປິ່ນປົວດ້ວຍເຊນ, ແລະຢາສ່ວນບຸກຄົນເປັນຕົວແທນຂອງພື້ນທີ່ທີ່ມີທ່າແຮງສໍາລັບເຕັກໂນໂລຢີການຈັດສົ່ງທີ່ອີງໃສ່ cyclodextrin.
Cyclodextrin derivatives ເຮັດໃຫ້ການປະສົມແບບຄົງທີ່ດ້ວຍການປົດປ່ອຍທີ່ຄວບຄຸມແລະປັບປຸງຄວາມຫມັ້ນຄົງ.
ລະບົບປະສົມທີ່ປະສົມປະສານ cyclodextrins ກັບ nanoparticles ແມ່ນເປີດຊາຍແດນໃຫມ່ໃນການຈັດສົ່ງຢາເສບຕິດເປົ້າຫມາຍ.
ໃນຂະນະທີ່ການພັດທະນາການຢາມີຄວາມກ້າວຫນ້າ, Betadex Sulfobutyl Ether Sodium ຍັງສືບຕໍ່ແກ້ໄຂສິ່ງທ້າທາຍດ້ານການສ້າງແບບສະລັບສັບຊ້ອນໃນຂະນະທີ່ຮັກສາຄວາມປອດໄພທີ່ດີເລີດ. ຄວາມຄ່ອງແຄ້ວຂອງມັນໃນທົ່ວພື້ນທີ່ປິ່ນປົວເຮັດໃຫ້ມັນເປັນສ່ວນເສີມທີ່ຈຳເປັນສຳລັບລະບົບການຈັດສົ່ງຢາໃນຍຸກຕໍ່ໄປ.
ຖາມ: ສິ່ງທີ່ເຮັດໃຫ້sulfobutyl ether cyclodextrinເໜືອກວ່າສານລະລາຍອື່ນບໍ?
A: ມັນສະຫນອງຄວາມເປັນພິດຕ່ໍາ, ການຫຼຸດລົງຂອງ hemolysis, ສະລັບສັບຊ້ອນທີ່ປີ້ນກັບກັນ, ແລະການປັບປຸງຄວາມຫມັ້ນຄົງຂອງຢາເມື່ອທຽບກັບສານລະລາຍອິນຊີແລະ surfactants.
ຖາມ: ລະດັບການທົດແທນມີຜົນກະທົບແນວໃດ?
A: ການທົດແທນທີ່ສູງຂຶ້ນປັບປຸງການລະລາຍ, ແຕ່ປະສິດທິພາບທີ່ດີທີ່ສຸດຮຽກຮ້ອງໃຫ້ມີການດຸ່ນດ່ຽງປະສິດທິພາບ solubilisation ແລະຄວາມປອດໄພ.
ຖາມ: ມັນສາມາດຖືກນໍາໃຊ້ໃນສູດປາກ?
A: ແມ່ນແລ້ວ, ເຖິງແມ່ນວ່າການອອກແບບຕົ້ນຕໍສໍາລັບຢາສີດ, ມັນສາມາດເພີ່ມການລະລາຍໃນສູດປາກໃນເວລາທີ່ສົມເຫດສົມຜົນໂດຍຜົນປະໂຫຍດດ້ານການປິ່ນປົວ.
Betadex Sulfobutyl Ether Sodiumຈາກ Xi'an Deli Biochemical Industry Co., Ltd. ສະຫນອງການແກ້ໄຂທີ່ປອດໄພ, ຫມັ້ນຄົງ, ແລະສາມາດປັບຂະຫນາດໄດ້ສໍາລັບສູດຢາສີດທີ່ກ້າວຫນ້າ. ຕິດຕໍ່ພວກເຮົາທີ່xadl@xadl.comເພື່ອຮຽນຮູ້ເພີ່ມເຕີມ.