Sulfobutyl Ether Beta Cyclodextrin Sodium Injection Grade CAS 182410 00 0
  • Sulfobutyl Ether Beta Cyclodextrin Sodium Injection Grade CAS 182410 00 0 Sulfobutyl Ether Beta Cyclodextrin Sodium Injection Grade CAS 182410 00 0

Sulfobutyl Ether Beta Cyclodextrin Sodium Injection Grade CAS 182410 00 0

Sulfobutyl Ether Beta Cyclodextrin Sodium Injection Grade CAS 182410 00 0 ແມ່ນສະໜອງໃຫ້ຕາມຄວາມຕ້ອງການຂອງ USP ແລະ EP excipient ຢາ. ຜະລິດຕະພັນແມ່ນຜະລິດເປັນສີດລະດັບທີ່ມີການຄວບຄຸມການທົດແທນແລະຄຸນນະພາບ batch ສອດຄ່ອງ.

ສົ່ງສອບຖາມ

ລາຍ​ລະ​ອຽດ​ຜະ​ລິດ​ຕະ​ພັນ

Sulfobutyl Ether Beta Cyclodextrin Sodium Injection Grade CAS 182410 00 0

Sulfobutyl Ether Beta Cyclodextrin Sodium Injection Grade ແມ່ນອະນຸພັນ anionic cyclodextrin ທີ່ລະລາຍໃນນ້ຳໄດ້ສູງ ອອກແບບມາເພື່ອນຳໃຊ້ຢາ. ຜະລິດໂດຍ Xi'an DELI Biochemical Industry Co., Ltd., ຜະລິດຕະພັນນີ້ຖືກນໍາໃຊ້ຢ່າງກວ້າງຂວາງເປັນສານປະກອບການຢາເພື່ອເສີມຂະຫຍາຍການລະລາຍ, ຄວາມຫມັ້ນຄົງ, ແລະຄວາມປອດໄພຂອງສ່ວນປະກອບຢາທີ່ໃຊ້ໃນການລະລາຍນ້ໍາທີ່ບໍ່ດີ (APIs), ໂດຍສະເພາະໃນສູດຢາສັກ.

ດ້ວຍລະດັບການທົດແທນທີ່ຄວບຄຸມແລະຄຸນນະພາບທີ່ສອດຄ່ອງ, ຜະລິດຕະພັນຊັ້ນສີດນີ້ແມ່ນເຫມາະສົມສໍາລັບການພັດທະນາຢາທີ່ມີການຄວບຄຸມແລະການຜະລິດການຄ້າ.

ພາບລວມຂອງຜະລິດຕະພັນ

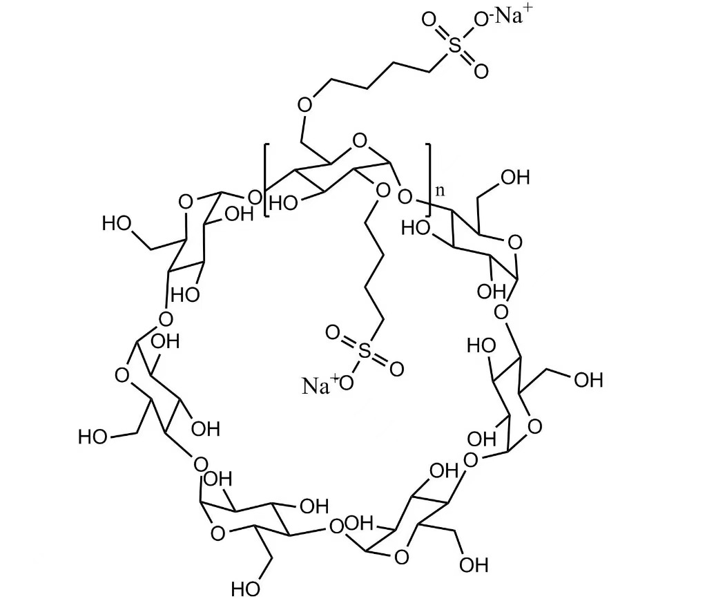
Sulfobutyl Ether Beta Cyclodextrin Sodium Injection Grade CAS 182410 00 0 ແມ່ນ beta cyclodextrin ທີ່ຖືກດັດແປງທາງເຄມີທີ່ມີກຸ່ມ sulfobutyl ether. ລັກສະນະ anionic ແລະການລະລາຍນ້ໍາສູງອະນຸຍາດໃຫ້ມັນສ້າງເປັນສະລັບສັບຊ້ອນການລວມເອົາປີ້ນກັບກັນທີ່ມີລະດັບຄວາມກ້ວາງຂອງໂມເລກຸນຢາເສບຕິດໂດຍຜ່ານປະຕິສໍາພັນທີ່ບໍ່ແມ່ນ covalent.

ເມື່ອປຽບທຽບກັບ beta cyclodextrin ພື້ນເມືອງ, SBE-β-CD ສະແດງໃຫ້ເຫັນຄວາມເປັນພິດຕ່ໍາແລະປັບປຸງຄວາມເຂົ້າກັນໄດ້ສໍາລັບການບໍລິຫານ parenteral, ເຮັດໃຫ້ມັນເປັນຫນຶ່ງໃນອະນຸພັນ cyclodextrin ທີ່ຕ້ອງການສໍາລັບສູດຢາຊັ້ນສີດ.

ຂໍ້ໄດ້ປຽບຂອງຜະລິດຕະພັນທີ່ສໍາຄັນ

  1. ການລະລາຍນ້ໍາທີ່ດີເລີດແລະຄວາມສາມາດໃນການລະລາຍທີ່ເຂັ້ມແຂງສໍາລັບ APIs ທີ່ລະລາຍບໍ່ດີ
  2. ປັບປຸງຄວາມໝັ້ນຄົງຂອງການສ້າງຮູບແບບ ໂດຍຜ່ານການສ້າງແບບສະລັບສັບຊ້ອນຂອງການລວມຕົວແບບປີ້ນກັບກັນ
  3. ປັບປຸງໂປຣໄຟລ໌ຄວາມປອດໄພເມື່ອທຽບກັບ beta cyclodextrin ພື້ນເມືອງ
  4. ຫຼຸດຜ່ອນຄວາມເປັນພິດຂອງຫມາກໄຂ່ຫຼັງແລະຄວາມສ່ຽງ hemolysis ໃນຜະລິດຕະພັນຢາສັກ
  5. ການຄວບຄຸມລະດັບສະເລ່ຍຂອງການທົດແທນຮັບປະກັນຄວາມສອດຄ່ອງ batch-to-batch
  6. ເຫມາະສໍາລັບສູດ parenteral, ophthalmic, nasal, ແລະສູດ inhalation


ພື້ນທີ່ຄໍາຮ້ອງສະຫມັກ

Sulfobutyl Ether Beta Cyclodextrin Sodium Injection Grade ສ່ວນໃຫຍ່ແມ່ນໃຊ້ໃນຮູບແບບປະລິມານຢາທີ່ບໍ່ແມ່ນທາງປາກ, ຂຶ້ນກັບການປະເມີນການສ້າງ.


  • ວິທີແກ້ໄຂແບບສັກຢາ
  • ຜົງ Lyophilized ສໍາລັບການສັກຢາ
  • ສູດ Ophthalmic
  • ການກະກຽມທາງດັງ
  • ສູດສູດດົມ

  • ມັນ ເໝາະ ສົມໂດຍສະເພາະ ສຳ ລັບຜູ້ສະ ໝັກ ໃຊ້ຢາທີ່ມີການລະລາຍຂອງນ້ ຳ ຕ່ ຳ ແລະຄວາມທ້າທາຍຄວາມ ໝັ້ນ ຄົງໃນລະຫວ່າງການພັດທະນາສູດ.


    ການນໍາໃຊ້ທົ່ວໄປໃນການພັດທະນາຢາສັກ

    ໃນການພັດທະນາຢາແບບສັກຢາ, Sulfobutyl Ether Beta Cyclodextrin Sodium ຖືກນໍາໃຊ້ເພື່ອປັບປຸງການລະລາຍຂອງຢາ, ປ້ອງກັນການຕົກຕະກອນຫຼັງຈາກເຈືອຈາງ, ແລະເພີ່ມຄວາມຫມັ້ນຄົງຂອງສູດທັງຫມົດ. ມັນຍັງປະກອບສ່ວນໃນການປັບປຸງຄວາມທົນທານຂອງຄົນເຈັບໂດຍການຫຼຸດຜ່ອນການລະຄາຍເຄືອງໃນທ້ອງຖິ່ນຢູ່ບ່ອນສັກຢາ.

    ຜະລິດຕະພັນໄດ້ຖືກຄັດເລືອກໂດຍທົ່ວໄປສໍາລັບລະບົບການຈັດສົ່ງຢາທີ່ມີນະວັດກໍາ, ສູດຢາທີ່ສະລັບສັບຊ້ອນ, ແລະຢາທີ່ຕ້ອງການປະສິດທິພາບການລະລາຍສູງທີ່ມີຄວາມປອດໄພທີ່ພິສູດແລ້ວ.


    ຂໍ້ມູນຈໍາເພາະຂອງຜະລິດຕະພັນ

    ຊື່ຜະລິດຕະພັນ:Sulfobutyl Ether Beta Cyclodextrin Sodium
    CAS No.:182410-00-0
    ສູດໂມເລກຸນ:C42H70-nO35·(C4H8SO3Na)n
    ຊັ້ນຮຽນ:ເກຣດສີດ
    ມາດຕະຖານບໍລິຫານ:USP / EP / ມາດຕະຖານວິສາຫະກິດ
    ຄໍາຮ້ອງສະຫມັກ:Excipient ຢາ

    ການຫຸ້ມຫໍ່:500 g / ຖົງ; 1 ກິໂລ / ຖົງ; 10 ກິ​ໂລ / ຖົງ​; 10 ກິ​ໂລ / drum​
    ການເກັບຮັກສາ:ເກັບຮັກສາໄວ້ໃນຖັງປິດແຫນ້ນ, ປ້ອງກັນຈາກຄວາມຊຸ່ມຊື່ນແລະແສງສະຫວ່າງໂດຍກົງ.


    ຄຸນະພາບແລະການປະຕິບັດຕາມ

    ລະດັບສີດຢາ Sulfobutyl Ether Beta Cyclodextrin Sodium ນີ້ແມ່ນຜະລິດພາຍໃຕ້ລະບົບການຄຸ້ມຄອງຄຸນນະພາບທີ່ສົມບູນແບບ. ຄຸນ​ລັກ​ສະ​ນະ​ທີ່​ສໍາ​ຄັນ​ລວມ​ທັງ​ການ​ກໍາ​ນົດ​, ການ​ທົດ​ສອບ​, ລະ​ດັບ​ສະ​ເລ່ຍ​ຂອງ​ການ​ທົດ​ແທນ​, impurities ທີ່​ຍັງ​ເຫຼືອ​, ລະ​ດັບ endotoxin​, ແລະ​ຈໍາ​ກັດ​ຈຸ​ລິນ​ຊີ​ແມ່ນ​ໄດ້​ຮັບ​ການ​ຄວບ​ຄຸມ​ຢ່າງ​ເຂັ້ມ​ງວດ​.

    ແຕ່ລະ batch ໄດ້ຖືກທົດສອບເພື່ອຮັບປະກັນການປະຕິບັດຕາມຄວາມຕ້ອງການ pharmacopeial ແລະສະເພາະພາຍໃນ, ສະຫນອງການປະຕິບັດທີ່ເຊື່ອຖືໄດ້ສໍາລັບທັງການພັດທະນາສູດແລະການຜະລິດຢາການຄ້າ.


    ໃບຢັ້ງຢືນການວິເຄາະ (COA)

    ໃບຢັ້ງຢືນການວິເຄາະລາຍລະອຽດແມ່ນໃຫ້ສໍາລັບແຕ່ລະຊຸດການຜະລິດ. COA ປະກອບມີລາຍການທົດສອບເຊັ່ນ: ຮູບລັກສະນະ, ການລະບຸຕົວຕົນ, ການວິເຄາະ, ຄວາມບໍ່ສະອາດ, ລະດັບສະເລ່ຍຂອງການທົດແທນ, endotoxins, ແລະຂອບເຂດຈໍາກັດຂອງຈຸລິນຊີເພື່ອຮັບປະກັນການຕິດຕາມຢ່າງເຕັມທີ່ແລະຄວາມໂປ່ງໃສທີ່ມີຄຸນນະພາບ.


    ຄຳຖາມທີ່ຖາມເລື້ອຍໆ (FAQ)

    ຖາມ: ຜະລິດຕະພັນນີ້ແມ່ນເຫມາະສົມສໍາລັບການສີດສູດ?
    A: ແມ່ນແລ້ວ. ຜະລິດຕະພັນນີ້ຖືກຜະລິດໂດຍສະເພາະເປັນສີດຢາແລະຖືກນໍາໃຊ້ຢ່າງກວ້າງຂວາງໃນຜະລິດຕະພັນຢາ parenteral.

    Q: ຜະລິດຕະພັນປະຕິບັດຕາມມາດຕະຖານ USP ແລະ EP ບໍ?
    A: ແມ່ນແລ້ວ. ມັນໄດ້ຖືກຜະລິດຕາມຄວາມຕ້ອງການ USP ແລະ EP ເຊັ່ນດຽວກັນກັບມາດຕະຖານຄຸນນະພາບວິສາຫະກິດພາຍໃນ.

    ຖາມ: ຕົວຢ່າງສາມາດສະຫນອງສໍາລັບການປະເມີນຜົນການສ້າງ?
    A: ແມ່ນແລ້ວ. ຕົວຢ່າງສາມາດໃຫ້ໄດ້ຕາມການຮ້ອງຂໍສໍາລັບການທົດສອບການສ້າງແລະການປະເມີນຜົນດ້ານວິຊາການ.

    ຖາມ: ຜະລິດຕະພັນນີ້ຜະລິດໂດຍກົງໂດຍບໍລິສັດຂອງເຈົ້າບໍ?
    A: ແມ່ນແລ້ວ. Sulfobutyl Ether Beta Cyclodextrin Sodium Injection Grade ແມ່ນຜະລິດຢູ່ໃນເຮືອນໂດຍ Xi'an DELI Biochemical Industry Co., Ltd. ພວກເຮົາເປັນຜູ້ຜະລິດໂດຍກົງທີ່ມີສະຖານທີ່ຜະລິດຂອງພວກເຮົາເອງແລະລະບົບການຄວບຄຸມຄຸນນະພາບ.

    ຖາມ: ເຈົ້າເປັນຜູ້ຜະລິດຫຼືບໍລິສັດການຄ້າບໍ?
    A: ພວກເຮົາເປັນຜູ້ຜະລິດມືອາຊີບທີ່ມີຄວາມຊ່ຽວຊານໃນອະນຸພັນຂອງ cyclodextrin ແລະ cyclodextrin, ສະຫນອງຜະລິດຕະພັນໂດຍກົງຈາກໂຮງງານຂອງພວກເຮົາໂດຍບໍ່ມີຕົວກາງ.

    ຖາມ: batch to batch ມີຄວາມສອດຄ່ອງຮັບປະກັນບໍ?
    A: ແມ່ນແລ້ວ. ຂະບວນການຜະລິດທີ່ມີການຄວບຄຸມແລະການຄວບຄຸມຄຸນນະພາບຢ່າງເຂັ້ມງວດຮັບປະກັນການປະຕິບັດ batch ທີ່ສອດຄ່ອງ.

    ຖາມ: ຜະລິດຕະພັນນີ້ແມ່ນໃຊ້ໃນຮູບແບບຂະໜາດໃດ?
    A: ມັນຖືກນໍາໃຊ້ຕົ້ນຕໍໃນຮູບແບບປະລິມານຢາທີ່ບໍ່ແມ່ນທາງປາກເຊັ່ນ: ການແກ້ໄຂແບບສັກຢາ, ຜົງ lyophilized ສໍາລັບການສັກຢາ, ສູດ ophthalmic, ການກະກຽມທາງດັງ, ແລະສູດສູດສູດດົມ, ຂຶ້ນກັບການປະເມີນສູດ.

    ຖາມ: ມີເອກະສານດ້ານວິຊາການເພື່ອສະຫນັບສະຫນູນການຍື່ນລະບຽບການບໍ?
    A: ແມ່ນແລ້ວ. ສະຫນັບສະຫນູນເອກະສານດ້ານວິຊາການແລະອຸປະກອນການທີ່ກ່ຽວຂ້ອງທີ່ມີຄຸນນະພາບສາມາດສະຫນອງການຊ່ວຍເຫຼືອໃນການພັດທະນາການສ້າງຕັ້ງແລະການລົງທະບຽນຜະລິດຕະພັນ.


    ເປັນຫຍັງຕ້ອງເລືອກ Xi'an DELI

    Xi'an DELI Biochemical Industry Co., Ltd. ມີປະສົບການຫຼາຍກວ່າ 26 ປີໃນການຜະລິດ cyclodextrin ແລະ cyclodextrin derivative. ບໍລິສັດໄດ້ສຸມໃສ່ການ excipients ຢາແລະສະຫນອງການສະຫນອງທີ່ຫມັ້ນຄົງ, ຄຸນນະພາບສອດຄ່ອງ, ແລະສະຫນັບສະຫນູນດ້ານວິຊາການເປັນມືອາຊີບໃຫ້ແກ່ລູກຄ້າໃນທົ່ວໂລກ.

    ໃນຖານະເປັນຜູ້ຜະລິດແລະຜູ້ສະຫນອງທີ່ເຊື່ອຖືໄດ້ຂອງ Sulfobutyl Ether Beta Cyclodextrin Sodium Injection Grade, Xi'an DELI ສະຫນັບສະຫນູນລູກຄ້າຈາກການພັດທະນາສູດຕົ້ນໄປສູ່ການຜະລິດການຄ້າ.



    Hot Tags: Sulfobutyl Ether Beta Cyclodextrin Sodium Injection Grade CAS 182410 00 0, ຜູ້ຜະລິດ, ຜູ້ສະຫນອງ, ຈີນ, ໂຮງງານຜະລິດ, bulk, ຕົວຢ່າງຟຣີ, ຜະລິດໃນປະເທດຈີນ, ມີຢູ່ໃນສະຕັອກ, ຂາຍສົ່ງ, ຊື້

    ປະເພດທີ່ກ່ຽວຂ້ອງ

    ສົ່ງສອບຖາມ

    ກະລຸນາຮູ້ສຶກວ່າບໍ່ເສຍຄ່າເພື່ອໃຫ້ການສອບຖາມຂອງທ່ານໃນແບບຟອມຂ້າງລຸ່ມນີ້. ພວກເຮົາຈະຕອບກັບທ່ານໃນ 24 ຊົ່ວໂມງ.
    icon
    X
    ພວກເຮົາໃຊ້ cookies ເພື່ອສະເຫນີໃຫ້ທ່ານມີປະສົບການການຊອກຫາທີ່ດີກວ່າ, ວິເຄາະການເຂົ້າຊົມເວັບໄຊທ໌ແລະປັບແຕ່ງເນື້ອຫາ. ໂດຍການນໍາໃຊ້ເວັບໄຊທ໌ນີ້, ທ່ານຕົກລົງເຫັນດີກັບການນໍາໃຊ້ cookies ຂອງພວກເຮົາ. ນະໂຍບາຍຄວາມເປັນສ່ວນຕົວ
    ປະຕິເສດ ຍອມຮັບ