Sulfobutylether Beta Cyclodextrin Sodium Powder
IMG
VIDEO

Sulfobutylether Beta Cyclodextrin Sodium Powder

Sulfobutylether Beta Cyclodextrin Sodium Powder
ໝາຍເລກ CAS: 182410-00-0
ຮູບລັກສະນະ: ຝຸ່ນ amorphous ສີຂາວຫາສີຂາວ
ເກຣດ: ເກຣດສີດຢາ / ສ່ວນປະກອບທາງຢາ
ການ​ທົດ​ສອບ​: ≥ 99.0​% (ບົນ​ພື້ນ​ຖານ anhydrous​)
ການລະລາຍ: ສາມາດລະລາຍໄດ້ຢ່າງເສລີໃນນໍ້າ
ເຊື້ອແບັກທີເຣັຍ Endotoxins: ≤ 10 EU/g
ມາດຕະຖານບໍລິຫານ: USP / EP / ChP

ສົ່ງສອບຖາມ

ລາຍ​ລະ​ອຽດ​ຜະ​ລິດ​ຕະ​ພັນ


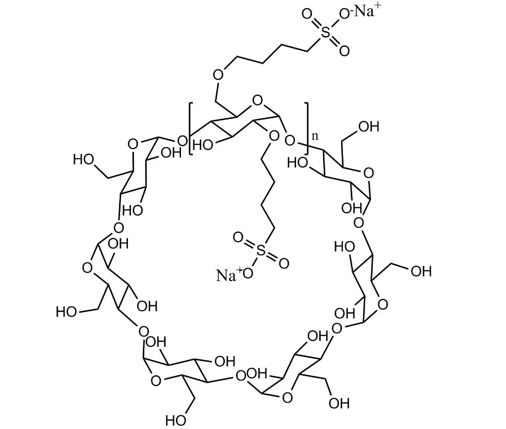
Sulfobutylether Beta Cyclodextrin Sodium Powder ແມ່ນຫຍັງ?


Sulfobutylether Beta Cyclodextrin Sodium Powder ແມ່ນສານອະນຸພັນβ-cyclodextrin anionic ທີ່ລະລາຍໄດ້ສູງ, ໃຊ້ເປັນສານເສີມທາງຢາ. ມັນຖືກຜະລິດໂດຍການດັດແປງທາງເຄມີ beta cyclodextrin ກັບກຸ່ມ sulfobutyl ether ພາຍໃຕ້ເງື່ອນໄຂທີ່ເປັນດ່າງທີ່ຄວບຄຸມ, ເຮັດໃຫ້ເກືອໂຊດຽມມີຄຸນສົມບັດການລະລາຍທີ່ດີເລີດ.

excipient-grade injectable ນີ້ໄດ້ຖືກອອກແບບເພື່ອປະກອບເປັນສະລັບສັບຊ້ອນການລວມຕົວທີ່ຫມັ້ນຄົງ, ທີ່ບໍ່ແມ່ນ covalent ທີ່ມີສ່ວນປະກອບທາງຢາທີ່ລະລາຍບໍ່ດີ (APIs). ໂດຍ encapsulating ໂມເລກຸນຢາ, Sulfobutylether Beta Cyclodextrin Sodium Powder ປັບປຸງການລະລາຍຢາ, ຄວາມຫມັ້ນຄົງ, ແລະ bioavailability ໃນຂະນະທີ່ຫຼຸດຜ່ອນການລະຄາຍເຄືອງທ້ອງຖິ່ນ, hemolysis, ແລະຄວາມເປັນພິດຂອງຫມາກໄຂ່ຫຼັງ.

ເນື່ອງຈາກຂໍ້ມູນຄວາມປອດໄພສູງແລະຄວາມສາມາດໃນການສະລັບສັບຊ້ອນທີ່ເຂັ້ມແຂງ, Sulfobutylether Beta Cyclodextrin Sodium Powder ຖືກນໍາໃຊ້ຢ່າງກວ້າງຂວາງໃນສູດຢາ parenteral, ໂດຍສະເພາະສໍາລັບຢາຕ້ານເຊື້ອ, ຢາຕ້ານເຊື້ອ, ມະເຮັງ, ແລະຢາສັກຢາ cardiovascular. ມັນປະຕິບັດຕາມມາດຕະຖານ pharmacopeial ທີ່ສໍາຄັນເຊັ່ນ USP ແລະ EP ແລະເຫມາະສົມສໍາລັບການນໍາໃຊ້ຢາທາງຄລີນິກແລະການຄ້າ.


Sulfobutylether Beta Cyclodextrin Sodium Powder ຂໍ້ມູນຈໍາເພາະ


ຜະລິດຕະພັນຂ້ອຍ
Sulfobutylether Beta Cyclodextrin Sodium
CAS No.
182410-00-0
ຮູບລັກສະນະ ສີຂາວຫຼືເກືອບສີຂາວ, ຝຸ່ນ hygroscopic.
ມາດຕະຖານບໍລິຫານ USP / EP / ChP
ການຫຸ້ມຫໍ່ 500 g / ຖົງ; 1 ກິໂລ / ຖົງ; 10 ກິ​ໂລ / ຖົງ​; 10 ກິ​ໂລ / drum​
ຄຳສັບຄ້າຍຄືກັນ SBE-β-CD; Sulfobutyl Ether Beta-Cyclodextrin; Betadex Sulfobutyl Ether Sodium
ວິເຄາະ ≥99%
ເຊື້ອແບັກທີເຣັຍ Endotoxins
≤10EU/g
MOQ 1 ກິໂລ


Sulfobutylether Beta Cyclodextrin Sodium Powder COA


ການນໍາໃຊ້ແລະຜົນປະໂຫຍດຂອງ Sulfobutyl Ether Beta Cyclodextrin (SBECD) ແມ່ນຫຍັງ?

1. ການນຳໃຊ້ Sulfobutyl Ether Beta Cyclodextrin (SBECD)

Sulfobutyl Ether Beta Cyclodextrin (SBECD) ສ່ວນໃຫຍ່ແມ່ນໃຊ້ເປັນຢາເສີມ, ໂດຍສະເພາະໃນ:


  • ສູດຢາແບບສັກຢາ (parenteral).
  • ການ​ກະ​ກຽມ Ophthalmic (ຕາ​)​
  • ລະບົບສົ່ງຢາທາງດັງ ແລະປອດ
  • ການສ້າງ APIs ທີ່ລະລາຍໃນນ້ໍາທີ່ບໍ່ດີ, ເຊັ່ນ: ຢາຕ້ານເຊື້ອ, ຢາຕ້ານໄວຣັສ, ຕ້ານມະເຮັງ, ແລະຢາປິ່ນປົວພະຍາດ cardiovascular.


2. ປະໂຫຍດຂອງ Sulfobutyl Ether Beta Cyclodextrin (SBECD)


  • ປັບປຸງການລະລາຍນ້ໍາຂອງຢາທີ່ລະລາຍບໍ່ດີຢ່າງຫຼວງຫຼາຍ
  • ປັບປຸງຄວາມສະຖຽນຂອງຢາໂດຍການສ້າງສະລັບສັບຊ້ອນການລວມຕົວທີ່ບໍ່ແມ່ນ covalent
  • ປັບປຸງຄວາມປອດໄພຂອງຢາ, ໂດຍສະເພາະສໍາລັບສູດຢາສັກ
  • ຫຼຸດຜ່ອນຄວາມເປັນພິດຂອງ ໝາກ ໄຂ່ຫຼັງເມື່ອທຽບໃສ່ກັບຢາລະລາຍພື້ນເມືອງບາງຊະນິດ
  • ຫຼຸດຜ່ອນ hemolysis ແລະການລະຄາຍເຄືອງຂອງບ່ອນສັກຢາ
  • ຄວບຄຸມອັດຕາການປ່ອຍຢາ, ປັບປຸງປະສິດທິພາບການປິ່ນປົວ
  • ໜ້າກາກກິ່ນເໝັນ ຫຼືລົດຊາດຂອງ APIs
  • ການລະລາຍນ້ໍາສູງແລະຄວາມເປັນພິດຕ່ໍາ, ເຫມາະສົມສໍາລັບການນໍາໃຊ້ parenteral

ເປັນຫຍັງເລືອກພວກເຮົາ?


ປະສົບການການຜະລິດຫຼາຍກວ່າ 20 ປີ

ດ້ວຍຫຼາຍກວ່າສອງທົດສະວັດຂອງປະສົບການທີ່ອຸທິດຕົນໃນການຜະລິດອະນຸພັນ cyclodextrin ແລະ cyclodextrin, Xi'an Deli Biochemical Industry Co., Ltd. ໄດ້ສ້າງຊື່ສຽງທີ່ແຂງສໍາລັບຄຸນນະພາບຜະລິດຕະພັນ, ຄວາມຫມັ້ນຄົງຂອງຂະບວນການ, ແລະການສະຫນອງທີ່ເຊື່ອຖືໄດ້.


ຂະ​ຫນາດ​ໃຫຍ່​ແລະ​ຄວາມ​ສາ​ມາດ​ຜະ​ລິດ​ທີ່​ຫມັ້ນ​ຄົງ​

ພວກເຮົາດໍາເນີນການສາຍການຜະລິດອຸດສາຫະກໍາທີ່ມີກໍາລັງການຜະລິດປະຈໍາປີຂອງ 500 ໂຕນຂອງ Hydroxypropyl Betadex ແລະ 200 ໂຕນ Betadex Sulfobutyl Ether Sodium, ຮັບປະກັນການສະຫນອງທີ່ຫມັ້ນຄົງສໍາລັບການນໍາໃຊ້ທາງດ້ານການຄ້າແລະທາງດ້ານການຊ່ວຍໃນໄລຍະຍາວ.


ການຮັບປະກັນຄຸນນະພາບຂອງຢາ-ເກຣດ

ຜະລິດຕະພັນຂອງພວກເຮົາແມ່ນຜະລິດພາຍໃຕ້ລະບົບການຄຸ້ມຄອງຄຸນນະພາບທີ່ເຂັ້ມງວດ, ມີພື້ນທີ່ສະອາດ Class D ທີ່ອຸທິດຕົນທີ່ອອກແບບຕາມຄວາມຕ້ອງການການຜະລິດຢາ. ທີ່ສົມບູນແບບໃນຂະບວນການແລະການທົດສອບຜະລິດຕະພັນສຸດທ້າຍຮັບປະກັນຄວາມສອດຄ່ອງ batch-to-batch ທີ່ດີເລີດ.


ຄວາມສາມາດໃນການວິເຄາະ ແລະການທົດສອບແບບພິເສດ

ມາພ້ອມກັບເຄື່ອງມືການວິເຄາະທີ່ທັນສະໄຫມເຊັ່ນ: HPLC, GC, IC, capillary electrophoresis, FTIR, ແລະ NMR-supported testing, ຫ້ອງທົດລອງຂອງພວກເຮົາແມ່ນສາມາດຕອບສະຫນອງຄວາມຕ້ອງການ pharmacopeial ຂອງ USP, EP, ແລະ ChP, ສະຫນັບສະຫນູນການພັດທະນາສູດແລະການປະຕິບັດຕາມກົດລະບຽບ.


ການສະຫນັບສະຫນູນດ້ານກົດລະບຽບແລະປະສົບການຕະຫຼາດທົ່ວໂລກ

ຜະລິດຕະພັນທີ່ສໍາຄັນຂອງພວກເຮົາ, ລວມທັງ Hydroxypropyl Betadex ແລະ Betadex Sulfobutyl Ether Sodium, ໄດ້ຖືກລົງທະບຽນແລະຍື່ນກັບ FDA, ສະແດງໃຫ້ເຫັນປະສົບການຂອງພວກເຮົາໃນການສະຫນັບສະຫນູນລູກຄ້າສໍາລັບຕະຫຼາດຢາທົ່ວໂລກ.


ການຊ່ວຍເຫຼືອທາງດ້ານເຕັກນິກທີ່ຮັດກຸມລູກຄ້າ

ພວກເຮົາສະຫນອງການສະຫນັບສະຫນູນດ້ານວິຊາການແບບມືອາຊີບ, ການຊ່ວຍເຫຼືອດ້ານເອກະສານ, ແລະຄໍາແນະນໍາທີ່ກ່ຽວຂ້ອງກັບການສ້າງ, ເຮັດວຽກຢ່າງໃກ້ຊິດກັບລູກຄ້າຈາກການພັດທະນາຕົ້ນໂດຍຜ່ານການສະຫນອງການຄ້າໃນໄລຍະຍາວ.


ຄຸນສົມບັດຂອງບໍລິສັດ

Xi'an Deli Biochemical Industry Co., Ltd. ໃບຢັ້ງຢືນ.

ໃນຊຸມປີມໍ່ໆມານີ້, Xi'an Deli Biochemical Industry Co., Ltd. ໄດ້ມຸ່ງຫມັ້ນຢ່າງຕໍ່ເນື່ອງຕໍ່ການເພີ່ມປະສິດທິພາບຂະບວນການຜະລິດແລະການສ້າງລະບົບການຄຸ້ມຄອງຄຸນນະພາບທີ່ສົມບູນແບບສໍາລັບ cyclodextrins ແລະອະນຸພັນຂອງພວກມັນ.


FAQ

1. ທ່ານເປັນຜູ້ຜະລິດຫຼືບໍລິສັດການຄ້າບໍ?

ພວກເຮົາເປັນຜູ້ຜະລິດມືອາຊີບທີ່ມີຄວາມຊ່ຽວຊານໃນອະນຸພັນຂອງ cyclodextrin ແລະ cyclodextrin. ຜະລິດຕະພັນທັງຫມົດແມ່ນຜະລິດຢູ່ໃນໂຮງງານຜະລິດຂອງພວກເຮົາເອງໃນ Xi'an, ຈີນ.


2. ຜະລິດຕະພັນຕົ້ນຕໍຂອງເຈົ້າແມ່ນຫຍັງ?

ຜະລິດຕະພັນຕົ້ນຕໍຂອງພວກເຮົາແມ່ນ Hydroxypropyl Betadex (HPBCD) ແລະ Betadex Sulfobutyl Ether Sodium (SBECD), ຖືກນໍາໃຊ້ຢ່າງກວ້າງຂວາງເປັນ excipients ຢາ, ໂດຍສະເພາະໃນສູດຢາສັກແລະປາກ.


3. ຜະລິດຕະພັນຂອງເຈົ້າໄດ້ມາດຕະຖານຢາບໍ?

ແມ່ນແລ້ວ. ຜະລິດຕະພັນຂອງພວກເຮົາປະຕິບັດຕາມຄວາມຕ້ອງການ USP, EP, ແລະຢາຈີນ. ໃບຢັ້ງຢືນອັນເຕັມທີ່ຂອງການວິເຄາະ (COA) ແມ່ນສະຫນອງໃຫ້ແຕ່ລະຊຸດ.


4. ເຈົ້າສະໜອງວັດສະດຸປະເພດສີດໄດ້ບໍ?

ແມ່ນແລ້ວ. ພວກເຮົາມີຄວາມຊ່ຽວຊານໃນອະນຸພັນ cyclodextrin ລະດັບສີດຢາທີ່ມີການຄວບຄຸມຢ່າງເຂັ້ມງວດຂອງ impurities, endotoxins, ແລະຄວາມສອດຄ່ອງ batch-to-batch.


5. ຄວາມສາມາດຜະລິດຂອງເຈົ້າແມ່ນຫຍັງ?

Hydroxypropyl Betadex: 500 ໂຕນຕໍ່ປີ

Betadex Sulfobutyl Ether Sodium: 200 ໂຕນຕໍ່ປີ


6. ທ່ານໃຫ້ຕົວຢ່າງສໍາລັບການປະເມີນຜົນບໍ?

ແມ່ນແລ້ວ. ຕົວຢ່າງຟຣີແມ່ນມີໃຫ້ຕາມການຮ້ອງຂໍສໍາລັບການພັດທະນາການສ້າງແລະການທົດສອບ.


7. ທ່ານສາມາດສະຫນັບສະຫນູນການສະຫນອງການຄ້າໃນໄລຍະຍາວບໍ?

ແມ່ນແລ້ວ. ດ້ວຍສາຍການຜະລິດຂະຫນາດໃຫຍ່ແລະລະບົບຄຸນະພາບທີ່ຫມັ້ນຄົງ, ພວກເຮົາສະຫນັບສະຫນູນການສະຫນອງໃນໄລຍະຍາວແລະການຄ້າສໍາລັບລູກຄ້າຢາທົ່ວໂລກ.


8. ເຈົ້າປະຕິບັດຕາມລະບົບຄຸນນະພາບອັນໃດ?

ພວກເຮົາດໍາເນີນການພາຍໃຕ້ ISO 9001: 2015, ສະຫນັບສະຫນູນໂດຍອຸປະກອນການວິເຄາະຂັ້ນສູງແລະຫ້ອງທົດລອງການຄວບຄຸມຄຸນນະພາບທີ່ອຸທິດຕົນເພື່ອຮັບປະກັນຄວາມສອດຄ່ອງແລະປະຕິບັດຕາມຜະລິດຕະພັນ.



Hot Tags: Sulfobutylether Beta Cyclodextrin Sodium Powder, ຜູ້ຜະລິດ, ຜູ້ສະຫນອງ, ຈີນ, ໂຮງງານ, bulk, ຕົວຢ່າງຟຣີ, ຜະລິດໃນປະເທດຈີນ, ໃນສະຕັອກ, ຂາຍສົ່ງ, ຊື້

ປະເພດທີ່ກ່ຽວຂ້ອງ

ສົ່ງສອບຖາມ

ກະລຸນາຮູ້ສຶກວ່າບໍ່ເສຍຄ່າເພື່ອໃຫ້ການສອບຖາມຂອງທ່ານໃນແບບຟອມຂ້າງລຸ່ມນີ້. ພວກເຮົາຈະຕອບກັບທ່ານໃນ 24 ຊົ່ວໂມງ.
icon
X
ພວກເຮົາໃຊ້ cookies ເພື່ອສະເຫນີໃຫ້ທ່ານມີປະສົບການການຊອກຫາທີ່ດີກວ່າ, ວິເຄາະການເຂົ້າຊົມເວັບໄຊທ໌ແລະປັບແຕ່ງເນື້ອຫາ. ໂດຍການນໍາໃຊ້ເວັບໄຊທ໌ນີ້, ທ່ານຕົກລົງເຫັນດີກັບການນໍາໃຊ້ cookies ຂອງພວກເຮົາ. ນະໂຍບາຍຄວາມເປັນສ່ວນຕົວ
ປະຕິເສດ ຍອມຮັບ